关于发布《证券投资基金投资流通受限股票估值指引(试行)》的通知

各基金管理人、基金托管人:

为规范证券投资基金(以下简称“基金”)投资流通受限股票的估值,保护基金份额持有人的利益,中国证券投资基金业协会估值核算工作小组制定了《证券投资基金投资流通受限股票估值指引(试行)》(以下简称《指引》),现予以发布。

采用《指引》对流通受限股票进行估值的基金管理人和相关基金托管人,应当在2017年12月31日前完成《指引》的实施工作。基金管理人应当根据法律法规及合同约定,与基金托管人协商一致后确定估值标准切换时点,并履行信息披露等义务。

中国证券投资基金业协会

二〇一七年九月四日

 

附件:

证券投资基金投资流通受限股票估值指引(试行) 

目  录

一、总则

二、流通受限股票的估值处理

三、释义

一、总则

(一)为规范证券投资基金(以下简称基金)投资流通受限股票的估值,保护基金份额持有人的利益,根据《证券投资基金法》、《公开募集证券投资基金运作管理办法》、《关于基金投资非公开发行股票等流通受限证券有关问题的通知》(证监基金字[2006]141号)等法律法规,制定本指引。

(二)本指引所称流通受限股票,是指在发行时明确一定期限限售期的股票,包括但不限于非公开发行股票、首次公开发行时股票公司股东公开发售股份、通过大宗交易取得的带限售期的股票等,不包括停牌、新发行未上市、回购交易中的质押券等流通受限股票。

(三)基金管理人和基金托管人对基金投资的流通受限股票进行估值、计算基金份额净值时,可参考本指引。若财政部等有关部门对流通受限股票估值另有规定的,从其规定。

(四)基金管理人作为估值的第一责任人,应定期评估估值质量,并对估值价格进行检验,防范可能出现的偏差。

(五)鼓励第三方估值机构应用本指引确定的模型计算并提供剩余限售期对应的流动性折扣。

(六)私募基金投资流通受限股票的,可根据合同约定,参考本指引执行。

(七)本指引自发布之日起实施。 

二、流通受限股票的估值处理

(一)流通受限股票按以下公式确定估值日该流通受限股票的价值。

FV = S×(1-LoMD)

其中:

FV:估值日该流通受限股票的价值

S:估值日在证券交易所上市交易的同一股票的公允价值

LoMD:该流通受限股票剩余限售期对应的流动性折扣。

(二)引入看跌期权计算该流通受限股票对应的流动性折扣。 

LoMD= P/S,P是估值日看跌期权的价值。

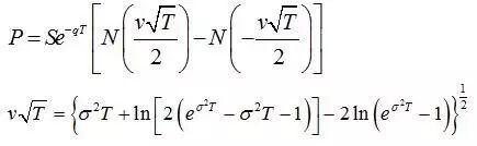
(三)证券投资基金持有的流通受限股票在估值日按平均价格亚式期权模型(“AAP模型”)确定估值日看跌期权的价值。

AAP模型公式如下所示:

其中:

S:估值日在证券交易所上市交易的同一股票的公允价值

T:剩余限售期,以年为单位表示

σ:股票在剩余限售期内的股价的预期年化波动率

q:股票预期年化股利收益率

N: 标准正态分布的累积分布函数 

三、释义

(一)估值日在证券交易所上市交易的同一股票的公允价值应由基金管理人按照基金合同、中国证券监督管理委员会(以下简称“中国证监会”)和中国证券投资基金业协会的相关规定,参考该股票估值日收盘价、最近交易日收盘价或估值模型确定。

(二)剩余限售期计算

1、非公开发行股票的限售期起始日为发行结果披露日,发行结果披露日为非交易日的,限售期起始日为发行结果披露日下一交易日。

2、限售期结束日原则上为预计上市流通日期的前一自然日。非公开发行股票的预计上市流通日期根据发行结果公告确定,若发行结果公告未明确预计上市流通日期,则根据发行结果公告中的在登记机构完成股份登记日期加限售期限计算预计上市流通日期;若发行结果公告也未明确在登记机构完成股份登记日期,则按发行结果披露日加限售期限计算预计上市流通日期。中国证监会、上海证券交易所或深圳证券交易所对限售期有其他规定的,从其规定。

3、剩余限售期为估值日至限售期结束日之间所含的自然日天数,折算为以年为单位表示。

(三)股票在剩余限售期内的股价的预期波动率,通过计算股票估值日前对应的剩余限售期内的每个交易日(对应的剩余限售期内的交易日不足20日,以20日为计算周期)相对上一个交易日的对数收益率的标准差,并将该标准差年化后得到年波动率。如果用以计算波动率的流通受限股票相关股价信息无法获取,如新近上市的新股或停牌股票,则可以考虑采用股价信息缺失期间所属行业指数的相关数据,并结合其他可获取的股价数据,综合计算该流通受限股股价波动率。

(四)股票预期股利收益率可通过股票的历史股利收益率来估计。如果流通受限股票为新近上市的新股,可考虑采用所属行业指数的股利收益率作为该流通受限股票股利收益率。

联系我们

宁波市证券期货业协会
地址:宁波市鄞州区中兴路775号天润商座C座1203室
联系方式:0574-87063389 邮政编码:315010

宁波市证券投资基金业协会
地址:浙江省宁波市鄞州区中兴路775号天润商座C座607室
联系方式:0574-88230653 邮政编码:315010

© Copyright 2021 宁波市证券期货业协会 & 宁波市证券投资基金业协会 All rights reserved. 累计访问922477 次 .
浙ICP备09054116号-2